Feeling (bromothymol) blue thinking about learning Module 6? Neutralise your fears and buffer against the stress of the HSC Chemistry exam by reading on! This article will indicate what to expect in the HSC Chemistry course, specifically Module 6, just as phenolphthalein indicates the endpoint of a titration. Become a stronger (and more ionised) Chemistry student by following some of these tips and tricks.
Befriending the HSC Chemistry Syllabus
In HSC Chemistry, the syllabus is your best friend - keep it by your side throughout and it will undoubtedly get you through those late night study grinds. The HSC Chemistry syllabus dot points tell you what you need to know and how you will be expected to apply it. Take for example, this dot point in Module 6 “describe the importance of buffers in natural systems”. The NESA directive “describe” means “provide characteristics and features of” which means you’ll need to know the name of the buffer, equations to demonstrate its function, its purpose or significance, and consequences of its breakdown.
To use the syllabus effectively, translate the dot points into subheadings for your notes. Prepare these notes on a regular basis (weekly works well) to ensure, come exam period, you are spending time on applying content to harder questions (that’s where the exponential growth in learning occurs). Something else that really helped me was regular active recall with certain syllabus dot points. By mind mapping as much as I could remember about each without looking at my notes, I was able to grasp a better understanding of the content.
Module 6: Acid/Base Reactions has a strong focus on the properties of acids and bases through changing definitions; the use of a particular definition the “Bronsted-Lowry Theory” to consider concepts of acid strength and the amphiprotic nature of some substances; and quantitative analysis through titration and Ka calculation questions. While titration is often seen to be a prominent component of Module 6, from the rinsing procedures to the graphs and let’s not forget the infamous 2021 HSC back titration question - there are other, equally important, aspects.
Module 6 - the Basic Stuff
The Key Concepts to Learn in Acid/Base Reactions:
- Changes in the definitions of acids and bases (Davy, Lavoisier, Arrhenius, Bronsted-Lowry and Lewis)
Understanding the advantages and limitations of these definitions is key to answering and how it led to subsequent improvements over time is key to answering any question of this type.
- Indicators and their function
A definition, how they change colours using equilibrium principles and selecting the correct one for a titration are all necessary in relation to the concept of indicators.
- The difference between strong/weak and concentrated/dilute
Often you will be asked to model these differences - remember strength relates to percentage ionisation while concentration refers to the amount of substance per unit of volume (normally number of moles per litres)
- Amphiprotic nature of salts
Some salts can act as either an acid or a base by either donating or accepting a proton depending on the pH of the environment they are placed in - these are amphiprotic substances. Demonstrating this quality using equations can arise in questions.
- The properties of buffers and their importance
Buffers help maintain balance in many natural systems - acting everywhere from our blood to our oceans. Their significance extends far beyond their presence in the Module 6 HSC Chemistry syllabus.
The Key Skills to Master in Module 6:
- Writing equations that represent reactions involving acids - acid + base, acid + carbonate and acid + metal
- Determining whether a salt produced from an acid-base reaction is acidic, basic or neutral - based on the nature of the conjugates, e.g. from sodium hydroxide or from acetic acid
- Calculating the pH of resultant solutions when an acid and base are mixed - a limiting reagent style question- and when an acid or base is diluted - where C1V1 = C2V2 will come in handy
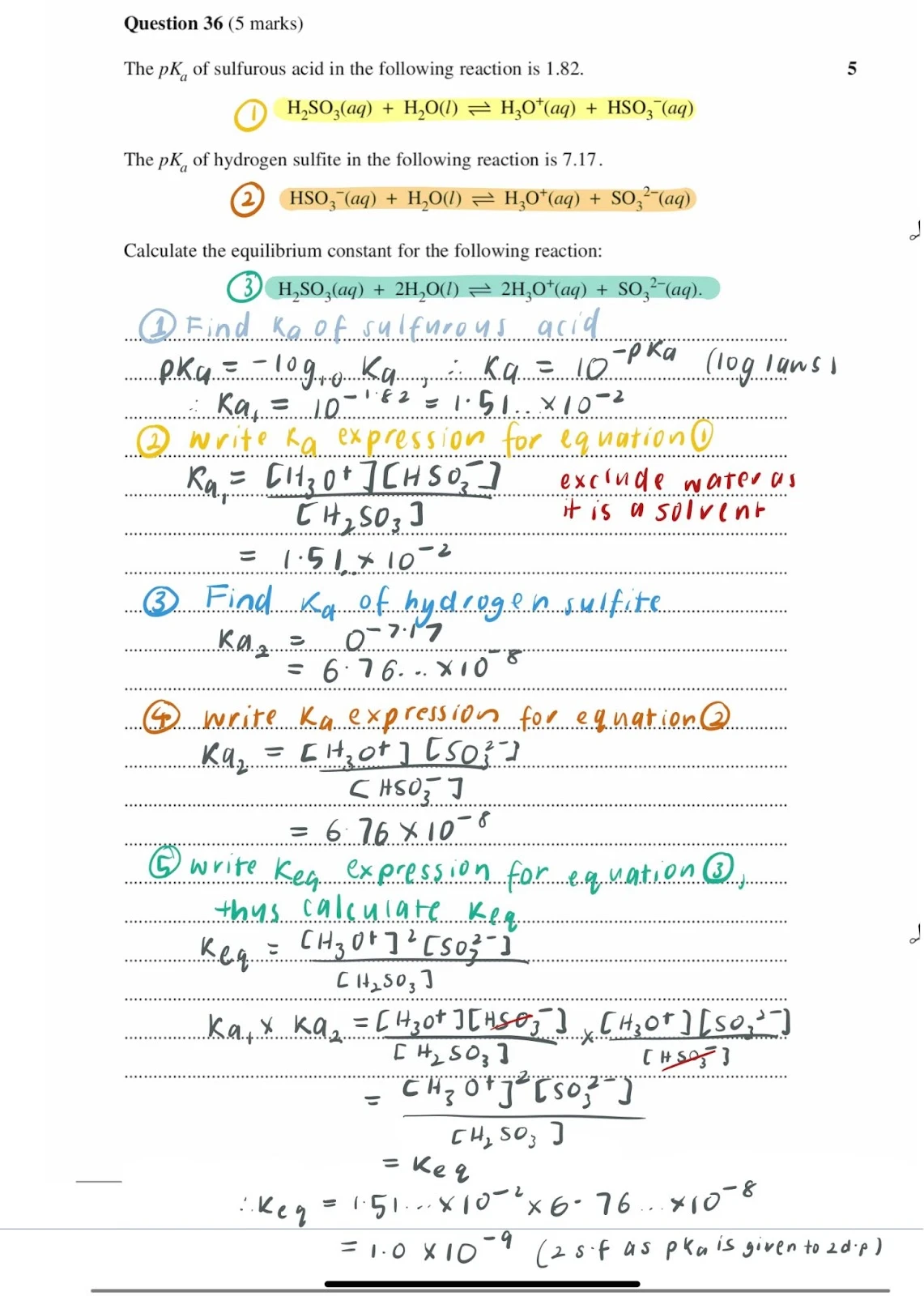
- Converting between pH and Ka or pOH and Kb - and any variation of such questions
- Drawing titration graphs and conductivity curves - and further explaining the shape of them
If you’re having trouble with reactions in the HSC Chemistry course, I recommend reading our Complete Guide to Reactions and Chemical Processes!
The key Formulas to Commit to Memory:
- pH = - log10 [H3O+] and pOH = -log10 [OH-]
- pKa = - log10 [Ka] and pKb = - log10 [Kb]
- Ka x Kb = Kw = 1.0 x 10-14 at 25C (for conjugate acid/base pair)
- Kw = [H3O+] x [OH-]
- q = mCΔT (note: m is total mass of solution and c is the specific heat capacity of that solution)
- ΔH = -q/n (note: “n” is the number of moles of water produced)
Get Yourself Equipped for Module 6 Acid/Base Reactions
Titrations
The procedure is a lengthy one - the preparation of a standard solution, the selection of a suitable indicator, the washing procedures for different equipment, and of course, the titration itself. However, it is an important one to remember. A discussion of inaccurate results or inconsistent titres is also a key skill that has previously been tested in the HSC.
Enthalpy of Neutralisation
Mixing an acid and a base in a polystyrene cup while measuring the rise in temperature and obtaining an experimental value far from the theoretical is all part of the fun of this practical. The results of this experiment also form the basis of some important calculation questions.
Preparation of a Natural Indicator
Boiling red cabbage or chopping up beetroot may seem like a throwback to Year 7 Food Tech but these vegetables contain a class of weak acids which function as indicators, so it is really all Chemistry!
Preparation of a Buffer
Combining comparable amounts of a weak acid and its conjugate base, you can make your very own buffer, and test out its breaking point by adding copious amounts of another acid or base.
Need a reminder on how to write a balanced chemical equation? Read this article!
Tackling the Chemistry Exam - from Calculations to Short Answers
The good thing about HSC Chemistry is that the short answers can be formulaic - once you learn to break down the mark allocation and answer the NESA directive, getting full marks in a question becomes achievable. However, increasingly, HSC Chemistry questions have required more lateral thinking, applying learnt skills to often unfamiliar stimuli. Together, we’ll tackle some calculations and short answer questions.






Frequently Asked Questions
What do Y12 do in Chemistry?
Other than manically swirling a conical flask inspecting for a trace of pink during titration practicals? As an overview, there are four modules continuing on from Y11: Module 5 introduces the concept of Equilibrium with reversible reactions, Module 6 looks at Acid Base reactions both quantitatively and qualitatively, Module 7 is all about organic chemistry explaining everything from polymers to soaps and Module 8 centres around the application of chemical ideas to the analysis of both organic and inorganic substances.
Is Y12 Chemistry hard?
HSC Chemistry is undoubtedly one of the most challenging but also rewarding courses. Increasingly, the ways in which Chemistry is being examined in the HSC has stretched us to think critically and engage our inner problem solver, but this also means there is no better feeling than the “Aha” moment when you finally get it. That is why it is so critical to work collaboratively with peers to motivate you and mentors to inspire you - the environment created here at Project.
Where can I find Y12 Chemistry notes?
From older students to tutoring companies, there are plenty of places you can find HSC Chemistry notes. But, nothing matches your own set of notes - written by you, for you - they not only consolidate your understanding but are also a helpful resource to refer back to in preparation for exams.
What are the best Y12 Chemistry textbooks?
I will preface this by a “Not a paid sponsor”. I used Pearson - the textbook my school recommended. This helped me to meet the requirements of my school and achieve good internal marks. It is also good to cross check content across other textbooks, and with Project you’ll have access to the whole range. At the end of the day, it is not the textbook but how you use it!
Is Y12 Chemistry similar to Y11 Chemistry?
The Y11 course prepares you with the foundational skills and content knowledge you will need to apply in Y12 and therefore my answer is, yes, they are similar. An understanding of the following skills and content will come in very handy; equation writing, stoichiometry, inter/intra molecular bonding and enthalpy/entropy, just to name a few. In my personal opinion, it is a lot more fun and interesting - from learning about how soaps work to meeting our good friend Le Chatelier.








